학습목표
선형회귀(Linear Regression)의 개념에 대해 알아본다.
핵심키워드
-Regression
-Linear Regression (선형회귀)
-Hypothesis (가설)
-Which hypothesis is better?
-Cost, Cost function (비용과 비용함수)
-Goal: Minimize cost (목표: 비용 최소화)
Regression : 후퇴, 퇴보, 되돌아가다
ML 에서의 Regression => "Regression towards the mean" 전체 평균을 향한 회귀

데이터를 가장 잘 대변하는 직선의 방정식을 찾는 것.
기울기와 y 절편을 알아내는 것.
ex) regression 을 통한 시험 점수 예측



가설함수는 H(x).
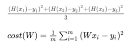
빨간 선들의 총 합이 작으면 작을수록 실제 데이터를 잘 대변.
Cost 를 최소화 하는 방법을 찾자.

차가 음수인 경우도 있고 양수인 경우도 있기 때문에 그 값을 제곱하여 그 크기 값의 평균을 사용한다.

목표: Cost 를 최소화하기
'컴공' 카테고리의 다른 글
| Statistical Learning with Python (0) | 2021.03.09 |
|---|---|
| Linear Regression and How to minimize cost 를 TensorFlow 로 구현하기 (0) | 2021.01.26 |
| Linear Regression and How to minimize cost (0) | 2021.01.25 |
| Simple Linear Regression 를 TensorFlow 로 구현하기 (0) | 2021.01.25 |
| [C++] 포인터(Pointers) (1) (0) | 2021.01.20 |